面積が瞬間に増加する量

下図のように,y=f(x)とx軸とでできる面積が瞬間にどれだけ増加するかを考えてみよう。


  1. xから凾間に増加した面積凾rを考える。

  2. 凾rは,凾が十分に小さいので,高さf(x)幅凾の長方形とほぼ同じと考えてよいので,
    凾r≒f(x)凾,つまり凾r/凾≒f(x)である。

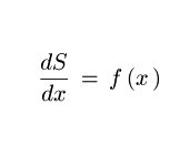
  3. 凾を限りなく0に近づけるとき,凾r/凾はf(x)の値に近づいていく。究極的に
    凾r/凾→f(x)である。つまり,dS(x)/dx=f(x)となる。
    これは,
      S(x)の瞬間の変化を表した関数(=S(x)の導関数)がf(x)である
    ということを意味している。